비타민 C는 정말 안전할까? 과잉 섭취가 사망 위험을 높일 수 있다는 연구

2025년 12월 15일

NHANES 대규모 데이터를 분석한 연구에 따르면 혈중 비타민 C 농도가 높을수록 오히려 사망 위험이 증가할 수 있다.

비타민 C는 무조건 안전할까?

사람들은 비타민 C가 몸에 좋다는 말만 들어왔고 그런 주장을 하는 사람들이 워낙 인터넷에 많아서 그렇지 실제로 항산화제를 연구하는 사람들은 오래 전부터 비타민 C의 과잉 복용이 위험하다고 생각했습니다. 그리고 암을 발생시키는 유전자를 보면 대개 산화환원반응과 관련된 유전자가 많아서, 아마도 항산화제를 너무 많이 먹으면 오히려 암의 성장에 큰 도움이 될 것이라고 생각하는 사람들도 많았습니다.

실제로 이러한 주장을 했던 대표적인 사람의 하나가 프랜시스 클릭입니다.

DNA 이중나선 구조를 제안한 공동 발견자 프랜시스 클릭(Francis Crick)은 말년에 항산화제, 특히 보충제 형태의 항산화 영양소에 대해 회의적·비판적인 입장을 분명히 드러낸 과학자입니다.

다만 중요한 점은, 클릭이 비타민 C가 무조건 해롭다거나 항산화는 전부 틀렸다고 주장한 것은 아니라는 점입니다.

그의 핵심 주장은 다음과 같습니다.

1. 항산화 이론의 단순화에 대한 비판

클릭은 1990년대 이후 널리 퍼진

“활성산소 = 나쁘다 → 항산화제 = 많이 먹을수록 좋다”

라는 단순한 논리 구조 자체를 과학적으로 위험하다고 보았습니다.

그는 생명 현상을 연구한 분자생물학자로서, 활성산소(ROS)가 세포 신호 전달, 면역 반응, 세포 사멸(apoptosis) 등에 필수적인 역할을 한다는 점을 강조했습니다.

즉, 활성산소는 제거 대상이 아니라 조절 대상이라는 관점입니다.


2. 고용량 항산화 보충제에 대한 명확한 경계

클릭은 특히 보충제 형태의 고용량 항산화제에 대해 부정적이었습니다. 그 이유는 다음과 같습니다.

  • 생체 내 산화·환원 균형(redox balance)을 인위적으로 깨뜨릴 수 있음

  • 암세포까지 보호할 가능성

  • 장기 복용 시 예측 불가능한 부작용

이는 이후 실제로 여러 대규모 임상시험에서 비타민 E, 베타카로틴 보충제가 사망률을 낮추지 못하거나 오히려 높인 결과와도 일치합니다.


3. “항산화제는 만병통치약”이라는 주장에 대한 과학적 반감

클릭은 생애 후반 인터뷰와 서신에서 항산화제를 과도하게 찬양하는 상업적·대중적 흐름
“증거보다 믿음이 앞선 주장”으로 보았습니다.

이 점에서 그는 비타민 C를 적극적으로 옹호했던 라이너스 폴링(Linus Pauling)과 명확히 다른 태도를 취했습니다.


이러한 배경 하에서 논문을 읽어보면 논문 내용이 예상을 했었던 것이지만, 생각보다는 충격적으로 우리가 생각하던 것보다 더 위험할 수 있음을 잘 보여줍니다.

미리 말씀드리는 것은 그렇다고 아예 안 먹는 것보다는 약간 먹는 것이 좋습니다. 그리고 그것은 권장양만으로 충분하다는 것입니다. 이 논문에서 부정적으로 보는 것은 흔히 메가도즈라고 해서 비타민 C를 하루에 2g 이상 섭취하는 것을 말하는 것입니다.

고용량 비타민 C가 오히려 사망 위험을 높일 수 있다는 연구

비타민 C는 오랫동안 ‘면역력 강화’, ‘항산화 영양소’의 대표 주자로 인식되어 왔습니다. 감기 예방부터 암 예방까지, 다양한 효능이 강조되며 고용량 보충제를 꾸준히 섭취하는 사람들도 적지 않습니다. 그러나 최근 대규모 인구 데이터를 분석한 연구에서는 비타민 C가 일정 수준을 넘을 경우 오히려 건강에 부정적인 영향을 미칠 수 있다는 결과가 보고되었습니다.

NHANES 데이터를 활용한 대규모 코호트 연구

2022년 국제 학술지 Nutrition에 발표된 연구는 미국 국민건강영양조사(NHANES) 2003~2006년 자료를 활용하여, 성인 9,902명을 평균 10.6년간 추적 관찰한 결과입니다. 이 연구의 특징은 단순히 비타민 C 섭취량이 아니라, 혈중 비타민 C 농도(serum vitamin C)를 기준으로 사망 위험을 분석했다는 점입니다 .

연구진은 혈중 비타민 C 수치와 전체 사망률, 심혈관 질환 사망률, 암 사망률 간의 관계를 정밀 분석했으며, 그 결과는 기존 인식과 다소 다른 양상을 보였습니다.

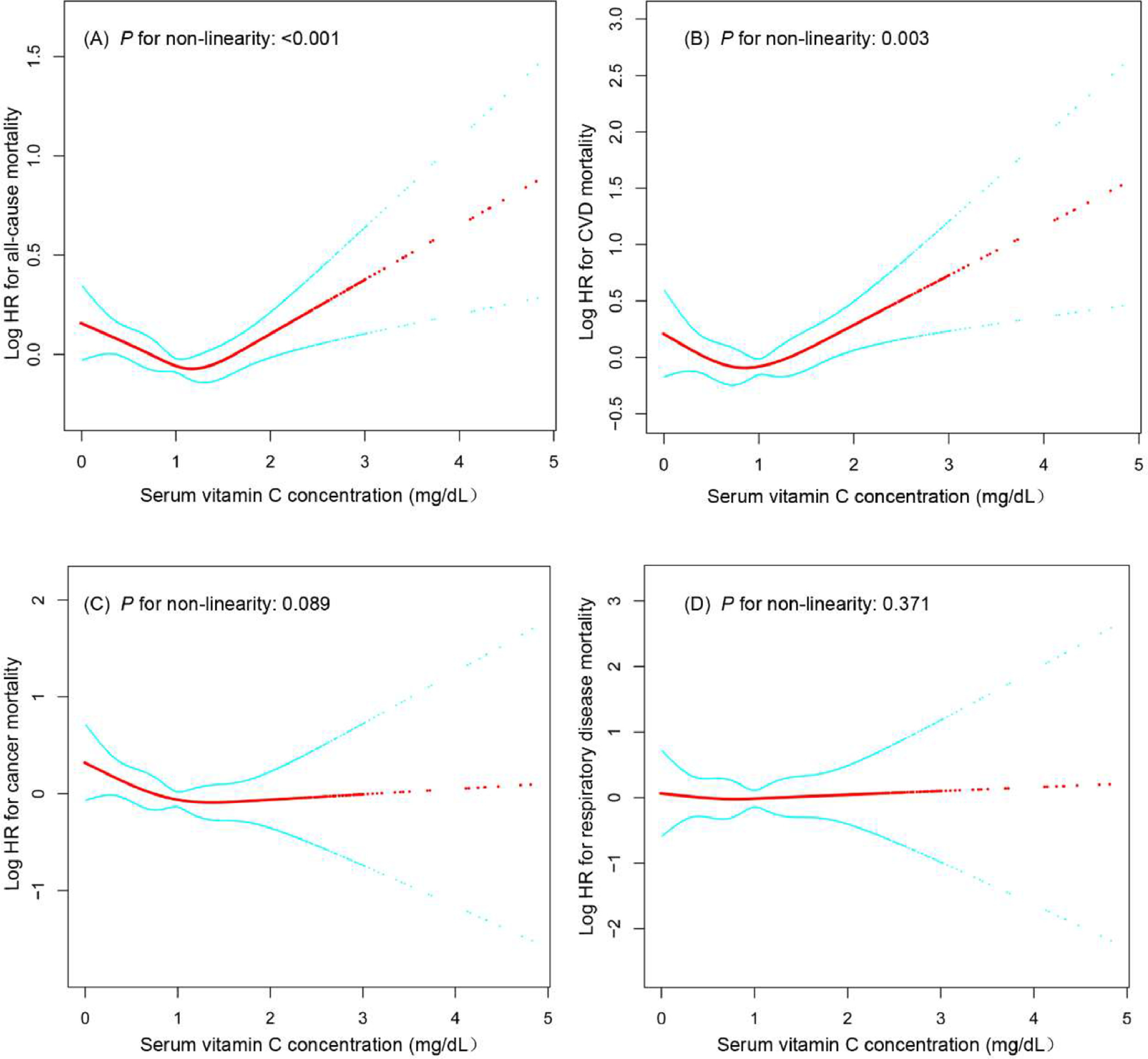
‘많을수록 좋다’가 아닌, U자형 위험 곡선

비타민 C가 사망률을 높인다는 자료 위의 그림에서 a는 모든 경우의 사망률, b는 심혈관질환, c는 암에 의한 사망률, d는 호흡기사망률을 나타냄

이 연구에서 가장 주목할 만한 결과는 혈중 비타민 C 농도와 사망 위험 사이에 U자형 관계가 나타났다는 점입니다. 즉, 비타민 C 수치가 너무 낮아도 문제지만, 너무 높아도 사망 위험이 다시 증가하는 경향이 확인되었습니다.

구체적으로 살펴보면, 혈중 비타민 C 농도가 약 1.06 mg/dL를 기준으로 위험도가 달라졌습니다. 이 수치보다 낮은 범위에서는 비타민 C가 증가할수록 전체 사망률과 심혈관 질환 사망률이 감소했지만, 이 기준을 초과한 이후에는 오히려 사망 위험이 유의하게 증가했습니다 .

연구진은 혈중 비타민 C가 기준치보다 높을 경우, 전체 사망 위험이 약 33%, 심혈관 질환 사망 위험은 60% 이상 증가할 수 있다고 보고했습니다.

왜 비타민 C가 많으면 문제가 될까?

비타민 C는 일반적으로 항산화 물질로 알려져 있지만, 일부 연구에서는 고농도 상태에서 ‘산화제(pro-oxidant)’ 작용을 할 가능성이 제기되어 왔습니다. 즉, 적정 농도에서는 세포를 보호하지만, 과도한 농도에서는 오히려 산화 스트레스를 증가시킬 수 있다는 가설입니다.

이번 연구에서도 이러한 가능성을 완전히 배제할 수 없다고 언급하고 있으며, 특히 고용량 보충제를 통해 혈중 농도가 지나치게 높아지는 상황에 대해 주의가 필요하다고 설명합니다 .

언론과 전문가들이 이 연구를 해석하는 방식

이 논문을 바탕으로 한 해외 보도와 전문가 해설에서는 공통적으로 다음과 같은 점을 강조합니다.

  • 비타민 C는 결핍도 문제지만, 과잉도 안전하지 않다

  • 식품을 통한 자연스러운 섭취와 고용량 보충제는 구분해서 생각해야 한다

  • “항산화 영양소 = 많이 먹을수록 좋다”는 단순한 인식은 과학적으로 수정될 필요가 있다

특히 이 연구는 무작위 임상시험이 아닌 관찰 연구이기 때문에 인과관계를 단정할 수는 없지만, 혈중 수치가 실제 건강 위험과 연결될 수 있다는 점에서 의미 있는 경고로 받아들여지고 있습니다.

결론: 비타민 C도 ‘적정량’이 중요합니다

이번 NHANES 기반 연구는 비타민 C가 무조건 안전한 영양소라는 통념에 의문을 제기합니다. 비타민 C는 분명 인체에 필수적인 영양소이지만, 혈중 농도가 일정 수준을 넘어서면 오히려 사망 위험과 연관될 수 있다는 점은 주목할 필요가 있습니다.

건강을 위해 섭취하는 보충제가 오히려 위험 요인이 될 수 있다는 점에서, 앞으로는 ‘얼마나 먹느냐’보다 혈중에서 어느 수준을 유지하느냐가 더 중요해질 것으로 보입니다.


youtube 장항준 내과 TV 채널의 내용 보강

장항준 내과 TV에서 이 내용을 다뤘습니다. 그 채널에서는 펜톤 반응에 대해서 설명했는데, 저는 펜톤 반응이 그렇게 심각했다면 아마도 비타민 C가 지금처럼 널리 퍼지지 않았을 것이라고 생각합니다. 저는 비타민 C가 위험한 이유는 그것이 우리 몸의 다른 항산화제를 쉽게 고갈시킬 수 있기 때문이라고 생각합니다. 무슨 말이냐 하면 비타민 C는 쉽게 산화되는데 그 산화된 비타민 C를 다시 환원시키기 위해서 예를 들어 글루타치온이 소비됩니다. 그런데 글루타치온은 비타민 C보다 훨씬 중요한 항산화제이기 때문에 이렇게 상위의 항산화제가 고갈되면 결국은 몸에 안 좋을 것이라고 생각합니다. 이에 대한 자세한 이야기는 나중에 기회되면 다시하겠습니다.

레퍼런스

  1. Tian T et al. Association of serum vitamin C with all-cause and cause-specific death: NHANES 2003–2006. Nutrition, 2022. https://pubmed.ncbi.nlm.nih.gov/35660506/

  2. Jayedi A et al. Dietary antioxidants and all-cause mortality: systematic review and meta-analysis. Advances in Nutrition, 2018. https://pubmed.ncbi.nlm.nih.gov/30239557/

  3. Al-Khudairy L et al. Vitamin C supplementation for the primary prevention of cardiovascular disease. Cochrane Database of Systematic Reviews, 2017. https://pubmed.ncbi.nlm.nih.gov/28301692/

  4. 유뷰브 장항준 내과TV https://youtu.be/uJM36XPvUr4?si=ZQ0o8jxuma3L8HGK